线性回归模型解决回归问题
既是问题,也是算法。线性回归问题,线性回归算法
1. 引出线性回归问题
- 这里有个预测房价问题,数据两列:面积,价格。我们假设面积和价格成线性关系⇒是一个线性回归问题
- 已知线性回归方程:
y=ax+b - 原问题:一个新的
x,求出对应的y。佛挡 - ⇒原问题变为:求出合适的
a和b - 用什么方法求出合适的
a和b呢? - 指标:衡量预测是否准确(a,b是否合适)
2. 如何求a和b?
引出衡量预测结果的公式:(越小,表明预测结果越准确)

引出损失函数
J,(多了个1/2m,是为了求导时方便化简)
⇒原问题变为:找出使得损失函数
J最小时,此时的a和bJ=g(a,b)=f(p)
3. 梯度下降法(用来求损失函数J的最小值)
损失函数最小值时,对
a,b求得偏导都为0⇒求出此时的a,b就是最优a,b

梯度下降法,为什么能求出损失函数
J的最小值?J=f(p),对p求导- 情况1:导数
>0,此时p_i需要变小才能更接近极小值点,所以上式能求到J的最小值 - 情况2:导数
<0,此时p_i需要变大才能更接近极小值点。
- 情况1:导数
- 所以有了下面的重复计算:

- 可以这样理解:sklearn求线性回归模型就是:根据给定的usa_housing_price.csv的数据来进行梯度下降, 求出最合适的a和b,也就是求出了最合适的线性回归模型lr1
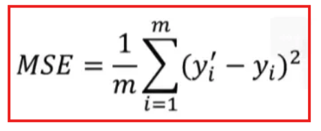
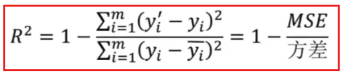
4. 模型评估方法
- y与y^’的均分误差MSE,越小越好

R^2,越大越好

5. 实战见桌面ipy文件夹
线性回归模型解决回归问题
https://blog.zzzero.site/2025/线性回归模型解决回归问题/